티스토리 뷰
흙의 투수계수는 물이 흙속에서 흐르는속도를 의미합니다. 오늘은 흙의 투수계수를 측정하는 여러가지 방법에 대해서 알아보도록 하겠습니다.
1. 투수계수 측정 방법
1) 투수계수 측정 방법의 종류 : 흙의 투수계수 구하는 방법에는 경험식, 실내투수실험, 현장투수시험 등이 잇습니다. 경험식은 단순한 토질시험 결과를 이용해 투수계수를 경험적으로 구하는 공식으로 아래와 같습니다.

실내투수시험은 지층에서 채취된 흙시료에 대해서 실험실에서 실시하는 투수시험으로 원위치 투수시험이라고 하며 양수시험과 주수시험 등이 있습니다. 현장에서 비교란시료를 얻기 어려운 경우나 큰 공사에서 현장에서 투수시험을 하고 실내시험결과와 비료해 보는 것이 좋습니다. 실내투수시험은 지층을 대표할 흙시료의 사용이어렵다는 단점이 있는 반면, 현장투수 시험은 현장 지층에 대해서 직접 시험할수 있다는 장점이 있으나 비용과 시간이 실내시험보다는 많이 소요된다는 단점이 있습니다.
2) 정수위 투수시험 : 시험장치에서 유입부의 수위가 내려가지도 않고 넘치지도 않을 정도 물을 적절히 공급하고 흙을 통과한 물의 유출부에서 넘치도록 합니다. 그러면 유입부와 유출부의 수위차가 항상 일정하게 유지합니다. 이때 시간 t동안 흙속을 통과해 넘쳐흐른 물을 모아 부피를 측정하면 아래와 같습니다. 정수위 투수시험은 투수계수가 비교적 큰 조립토(자갈, 모래)에 적합ㅎ한 시험으로 투수계수가 작은 흙에서는 유량을 모으는데 시간이 많이 걸리므로 부적당합니다.

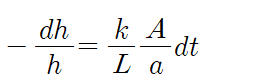
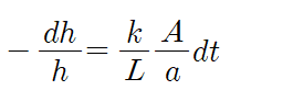
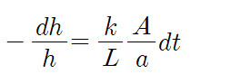
3) 변수위 투수시험 : 스탠드 파이프를 통해 물을 공급하면 물이 흙속으로 흘러 내려가게 되는데요. 물의 공급을 중단하면 스탠드 파이프 수위가 점차 내려갑니다. 시간 t1일때 스탠드 파이프와 유출부의 수위차 h1이고 시간 t2일때 수위차가 h2입니다. 임의 시간일때 수위차를 h라고 하면 동수경사는 i = h/L 입니다. 이때 흙시료를 통해 유출되는 단위시간당 유량은 q=khA/L 입니다. 스탠드 파이플를 통해 유입되는 단위시간당 유량은 다음식과 같이 되는데요. 이식에서 (-)는 수위가 내려가는 것을 의미합니다.

흙시료를 통해 유출되는 단위시간당 유량식과 스탠드 파이프를 통해 유입되는 단위시간당 유량식의 같은 값이므로 다음과 같습니다.

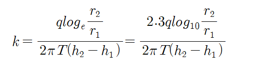
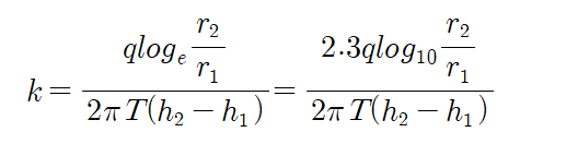
시간이 t1, t2 일때 수위차가 각각 h1, h2이므로 흙시료와 스탠드 단위시간당 유량식의 같은 식을 적분하여 k를 구하면 아래와 같습니다.

유량을 모으지 않고 스탠드 파이프의 예민한 수위강하를 측정하는 변수위 투수시험은 투수계수가 비교적 작은 세립토(실트, 점토)에 적합한 시험입니다. 투수계수가 10 -7 cm/sec보다 작은 불투수성 점토에서는 변수위 투수시험도 시간이 많이 걸리므로 압밀시험 결과를 이용해 투수계수를 구하기도 합니다.
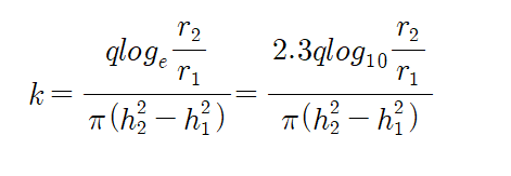
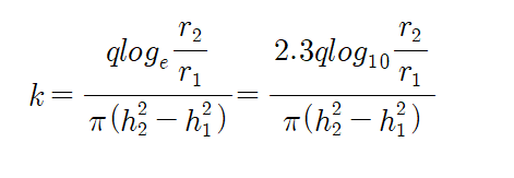
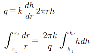
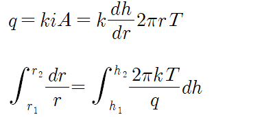
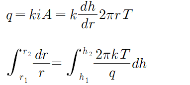
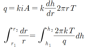
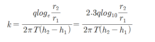
4) 중력식 우물 양수시험 : 양수시험은 지층에 우물이나 구멍을 파고 물을 퍼내면서 수위변화를 관측하여 지층의 투수계수를 구하는 시험을 말합니다. 중력식 우물 양수시험은 구속되지 않은 지하수를 자유지하수 또는 중력지하수라고 하며 이를 퍼내기 위해 설치한 우물을 중력식 우물이라고 합니다. 불투수층 위에 잇는 투수층의 투수계수를 측정하기 위해 한개의 중력식 우물과 두개의 관측우물을 팝니다. 우물에서 물을 퍼내면 우물 및 관측우물의 순위가 내려가지만 시간이 지나면서 주위의 물이 침투하여 수위가 점차 올라갑니다. 우물과 관측우물에서의 수위가 일정하게 될 때까지 즉 정상상태가 될때까지 물을 천천히 퍼낸다. 이 상태에서 우물로 들어가는 유량과 양수량은 같으며, q=kiA이다. 여기서 i는 dh/dr과 대략 같고, A=2 πrh 이므로 다음 식과 같이 됩니다.


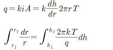
5) 피압식 우물 양수시험 : 불투수층 사이에 끼어서 압력을 받고 있는 대수층의 지하수를 피압지하수라고 하며 이를 퍼내기 위해 설치한 우물을 피압식 우물이라고 합니다. 불투수층을 뚫고 한개의 중력식 우물과 두개의 관측우물을 파면 우위가 압력수두만큼 똑같이 상승합니다. 우물에서 물을 퍼내면 우물 및 관측우물의 수위가 내려가지만, 시간이 지나면서 주위 물이 침투하여 수위가 점차 올라갑닏. 우물과 관측우물에서 수위가 일정하게 될때까지 즉 정상상태가 될때까지 물을 천천히 퍼냅니다. 이 상태에서 우물로 들어오는 유량과 양수량은 아래와 같습니다.


6) 주수시험 : 지층에 우물이나 구멍을 파고 물을 주입하면서 수위변화를 관측해 지층의 투수계수를 구하는 시허을 주수험이라고 하며 다양한 방법들이 있습니다. 우물 양수시험은 비용이 많이 들기 때문에 경제적으로 투수계수를 구하기 위해 시추공 주수시험을 많이 이용합니다.
7) 다층지반의 등가투수계수 : 자연의 토층은 투수계수가 다른 여러 층으로 이루어졌습니다. 투수계수가 다른 다층지반을 균질한 단일층으로 가정했을때 투수계수를 등가투수계수 또는 평균 투수계수라고 합니다.
오늘은 투수계수 측정 방법에 대해서 포스팅 했습니다. 투수계수에 대한 개념은 지반에 물이 빠져나가는 속도와 양을 의미하기 때문에 지반의 안정과 밀접한 관련이 있습니다. 그리고 그런 안정은 공사를 하는데 있어서 시공과도 연관이 있지만 우리의 안전관도 연관이 있기 때문에 올바른 숙지가 필요합니다.
